Hasil Seleksi Administrasi Penerimaan CPNS Kabupaten Serdang Bedagai Tahun Anggaran 2019
Table of Contents
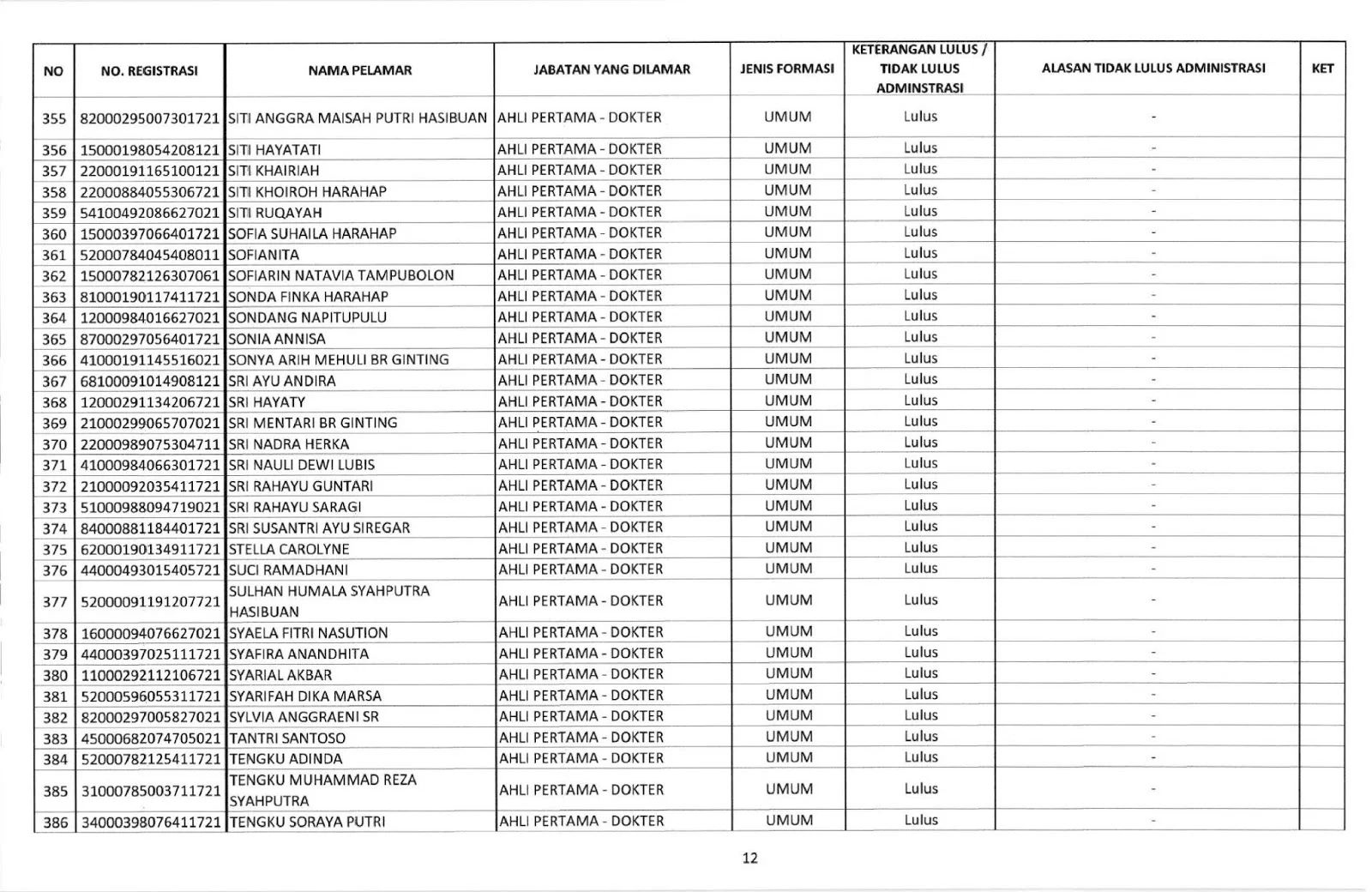
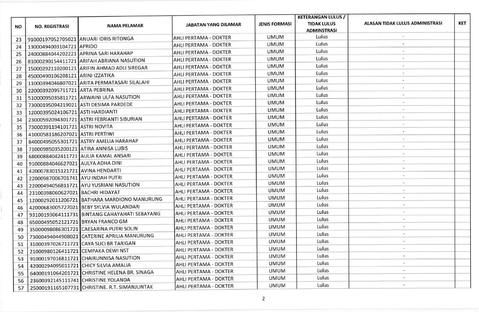
LOWONGANKERJA15.COM, Hasil Seleksi Administrasi Penerimaan CPNS Kabupaten Serdang Bedagai Tahun Anggaran 2019. Berdasarkan seleksi administrasi yang dilaksanakan oleh Panitia Penerimaan CPNS Kabupaten Serdang Bedagai Tahun Anggaran 2019, diumumkan sebagai berikut:
Seleksi Administrasi dilakukan berdasarkan ketentuan yang tercantum pada Pengumuman Bupati Serdang Bedagai Nomor : 18.33/800/7288/2019 tanggal 8 November 2019 tentang Kebutuhan Calon Pegawai Negeri Sipil dilingkungan Pemerintah Kabupaten Serdang Bedagai Tahun Anggaran 2019 dengan hasil seleksi sebagaimana terlampir dalam pengumuman ini.
Kepada seluruh pelamar agar masuk kembali ke login SSCASN masing-masing untuk mendapatkan informasi yang lebih jelas.
Bagi pelamar yang dinyatakan tidak lulus diberi kesempatan melakukan sanggah selama 3 (tiga) hari setelah pengumuman ini yaitu mulai tanggal 17 sld 19 Desember 2019 melalui login SSCASN masing-masing.
Hasil sanggah akan diumumkan pada tanggal 26 Desember 2019 melalui login SSCASN masing-masing dan di https://serdangbedagaikab.go.id
Lokasi dan waktu pelaksanaan ujian Seleksi Kompetensi Dasar (SKD) akan diinformasikan lebih lanjut di https://serdangbedagaikab.go.id
Demikian Pengumuman ini disampaikan, untuk diketahui.
HASIL SELEKSI ADMINISTRASI PENERIMAAN CALON PEGAWAI NEGERI SIPIL (CPNS) KABUPATEN SERDANG BEDAGAI TAHUN ANGGARAN 2019




































































