Pengumuman Informasi Hasil Seleksi Administrasi CPNS Kementerian Pertahanan Republik Indonesia Tahun 2019
Table of Contents
LOWONGANKERJA15.COM, Pengumuman Informasi Hasil Seleksi Administrasi CPNS Kementerian Pertahanan Republik Indonesia Tahun 2019. HASIL SELEKSI ADMINISTRASI CALON PEGAWAI NEGERI SIPIL KEMENTERIAN PERTAHANAN REPUBLIK INDONESIA TAHUN ANGGARAN 2019. Kembali Kementerian Pertahanan Republik Indonesia membeberkan pengumuman hasil seleksi Administrasi CPNS Kementerian Pertahanan Republik Indonesia Tahun 2019 yang sudah diproses verifikasi. Selamat bagi yang dinyatakan lulus karena tahapan selanjutnya adalah pengadaan tes seleksi SKD, Untuk itu yang dinyatakan lulus persiapkan dirimu dengan matang. Berdasarkan Hasil Verifikator Seleksi Administrasi CPNS Unit Organisasi Kemhan, Mabes TNI dan Angkatan (TNI AD, TNI AL, TNI AU) dan menindaklanjuti pengumuman Panitia Seleksi Nasional Calon Pegawai Negeri Sipil di lingkungan Kementerian Pertahanan Republik Indonesia, bersama ini menginformasikan hal-hal sebagai berikut:
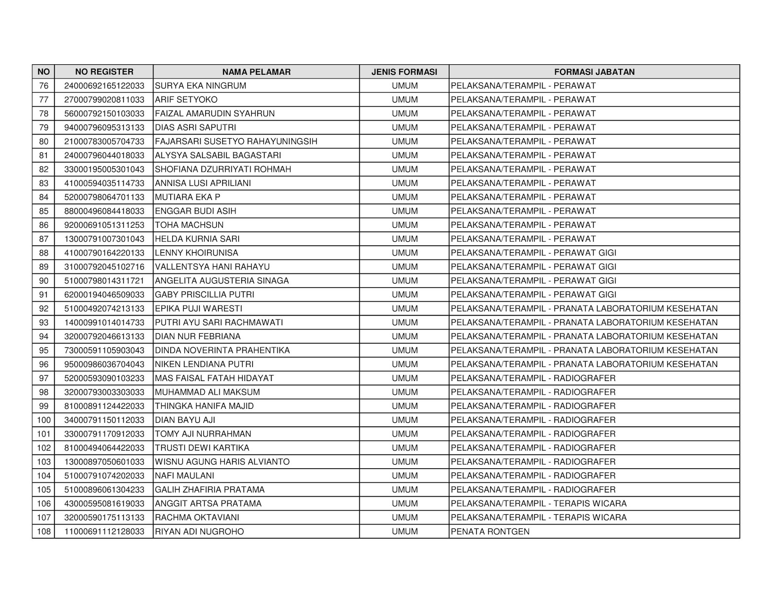
1. Pelamar yang dinyatakan lulus seleksi administrasi Calon Pegawai Negeri Sipil di lingkungan Kementerian Pertahanan Republik Indonesia Tahun 2019 adalah sebagaimana daftar nama peserta tercantum dalam lampiran pengumuman ini.
2. Pelamar yang dinyatakan lulus seleksi administrasi sebagaimana dimaksud pada angka 1, wajib mengikuti tahapan selanjutnya yaitu Seleksi Kompetensi Dasar (SKD).
3. Waktu pelaksanaan Cetak Kartu Tanda Peserta dan Seleksi Kompetensi Dasar akan diumumkan kemudian, setelah masa sanggah antara tanggal 16 sampai dengan 26 Desember 2019 dan bagi Pelamar yang dinyatakan lulus seleksi administrasi agar dapat memantau dengan pro aktif jadwal kegiatan melalui laman https://sscasn.bkn.go.id atau https://www.kemhan.go.id/ropeg, sehingga diharapkan tidak tertinggal informasi.
4. Seleksi Kompetensi Dasar (SKD) dilaksanakan dengan menggunakan sistem Computer Assisted Tes (CAT) selama 90 (sembilan puluh) menit, dengan materi terdiri dari Tes Karakteristik Pribadi (TKP), Tes Intelegensi Umum (TIU), dan Tes Wawasan Kebangsaan (TWK) sesuai dengan Peraturan Menteri Pendayagunaan Aparatur Negara dan Reformasi Birokrasi Nomor 23 Tahun 2019.
Baca juga : Hasil seleksi Administrasi CPNS KemenpanRB
5. Tata Tertib Selama Seleksi:
a. Kewajiban Peserta:
1) Membawa Kartu Tanda Peserta Seleksi (sesuai tahapan yang dilaksanakan) dan asli Kartu Tanda Penduduk (KTP)/Kartu Keluarga (KK)/Surat Keterangan Pengganti Identitas yang disahkan oleh pejabat yang berwenang serta menunjukkan ke Panitia seleksi (Petugas Verifikator) pada saat registrasi.
2) Hadir paling lambat 90 (sembilan puluh) menit sebelum ujian dimulai.
3) Mengisi daftar hadir yang telah disiapkan oleh Panitia dengan benar.
4) Melakukan verifikasi data sebelum memasuki ruang briefing.
5) Melakukan registrasi dan mendapatkan nomor PIN REGISTRASI dari Panitia Seleksi (Admin) sebelum tes dimulai.
6) Merupakan orang yang sama sesuai dengan foto dan biodata yang tercantum di dalam Kartu Tanda Peserta Seleksi.
7) Berpakaian dengan sopan menggunakan kemeja warna putih, celana panjang/rok berwarna hitam (bukan celana/rok jeans), sepatu pantofel (rapi dan sopan). Bagi peserta yang memakai jilbab, menggunakan
warna hitam.
8) Menempatkan diri pada tempat/zona yang telah ditentukan oleh Panitia.
9) Meletakkan/menyimpan semua barang bawaan berupa:
a) Semua bentuk buku dan catatan lainnya;
b) Kalkulator, jam tangan, laptop, tablet, telepon seluler (handphone – HP), kamera, flashdisk, alat rekam suara, alat pemutar audio/video portabel dan semua jenis alat bantu komunikasi dalam bentuk apapun;
c) Semua bentuk alat tulis kecuali yang disediakan oleh Panitia (kertas dan pensil);
d) Makanan, minuman, rokok, rokok elektrik dan lain sebagainya;
e) Tas/ransel atau sejenisnya pada tempat penyimpanan yang telah disiapkan oleh Panitia dan menerima kartu tanda penitipan.
10) Memasuki ruang ujian dengan tertib dan menempatkan diri pada posisi komputer sesuai arahan petugas Panitia.
11) Mengoperasikan perangkat komputer setelah ada instruksi dari petugas Panitia (memasukkan PIN dan membuka aplikasi).
12) Mengerjakan semua soal yang diujikan setelah ada perintah dari petugas CAT sesuai alokasi waktu yang ditentukan.
13) Meninggalkan ruangan ujian dengan tertib.
b. Larangan Peserta:
1) Membawa senjata api/tajam dan atau bahan berbahaya lainnya ke lokasi pelaksanaan ujian.
2) Menyuruh orang lain (menggunakan joki) untuk mengerjakan soal ujian.
3) Bertanya/berbicara/bekerja sama kepada sesama peserta seleksi.
4) Menerima/memberikan sesuatu dari/kepada peserta lain tanpa seijin dari Panitia.
5) Keluar ruang ujian selama tes berlangsung, kecuali memperoleh ijin dari Panitia.
6) Merokok, makan atau minum di dalam ruang ujian.
7) Melakukan kegiatan yang mengganggu peserta lainnya.
8) Menggunakan komputer yang tidak sesuai dengan yang ditentukan oleh Panitia.
9) Menggunakan komputer selain untuk aplikasi CAT.
10) Memasang perangkat apapun pada komputer CAT.
11) Mencoret/mengotori layar komputer.
c. Sanksi Peserta:
1) Peserta yang tidak melaksanakan kewajiban dan larangan sebagaimana diatur dalam tata tertib ini dapat dikenai sanksi mulai dari teguran lisan hingga pembatalan status sebagai peserta seleksi.
2) Peserta yang datang pada saat sesudah briefing/pengarahan berlangsung tidak diperkenankan mengikuti tes dan dianggap gugur.
3) Peserta seleksi yang didapati secara sengaja membawa dan/atau menggunakan alat komunikasi (telepon seluler, handy talky, dan lain sebagainya), kamera dalam bentuk apapun dan berupaya melakukan kecurangan lainnya dianggap gugur dan dikeluarkan dari ruangan seleksi.
6. Lain-lain:
a. Informasi terkait kegiatan Seleksi Kompetensi Dasar Calon Pegawai Negeri Sipil di lingkungan Kementerian Pertahanan Republik Indonesia Tahun 2019 dapat dilihat di laman https://sscasn.bkn.go.id atau https://www.kemhan. go.id/ropeg
b. Kelalaian peserta dalam membaca dan memahami pengumuman menjadi tanggung jawab peserta.
c. Dalam seluruh tahapan pelaksanaan kegiatan seleksi Calon Pegawai Negeri Sipil di lingkungan Kementerian Pertahanan Republik Indonesia Tahun 2019
TIDAK DIPUNGUT BIAYA.
d. Keputusan Panitia seleksi Calon Pegawai Negeri Sipil di lingkungan Kementerian Pertahanan Republik Indonesia Tahun 2019 bersifat MUTLAK dan tidak dapat diganggu gugat.
DAFTAR HASIL SELEKSI ADMINISTRASI CALON PEGAWAI NEGERI SIPIL KEMENTERIAN PERTAHANAN REPUBLIK INDONESIA TAHUN ANGGARAN 2019































































































